Clara® Inhibitor-Tolerant Probe 1-Step Mix


Clara® Inhibitor-Tolerant Probe 1-Step Mix cung cấp hỗn hợp 4x có khả năng chịu đựng chất ức chế trên phổ rộng cho phản ứng RT-qPCR 1 bước dựa trên dò tìm. Khám phá sức mạnh của phân tích RT-qPCR chính xác với Clara® Inhibitor-Tolerant Probe 1-Step Mix. Hỗn hợp RT-qPCR có khả năng chịu ức chế này được thiết kế chuyên biệt để vượt qua những chất ức chế khó khăn trong phòng thí nghiệm, môi trường và mẫu lâm sàng, đảm bảo kết quả đáng tin cậy và quy trình làm việc hiệu quả cho nghiên cứu của bạn. Đối với người sử dụng muốn khuếch đại DNA, chúng tôi khuyến nghị sử dụng Clara® Inhibitor-Tolerant Probe Mix. Clara® Inhibitor-Tolerant Probe 1-Step Mix đã được kiểm tra rộng rãi trên: Nước bọt thô (10%) Máu thô (6%) Hóa chất phòng thí nghiệm (SDS, guanidine, ethanol) Chất ức chế lâm sàng (hemin, hemoglobin, heparin, lactoferrin, immunoglobulins, urea) Chất ức chế từ thực vật và môi trường (axit humic, catechin, quercetin, axit tannic, cellulose và chlorophyll). Đặc điểm: Khả năng chịu đựng chất ức chế trên phổ rộng Định dạng hỗn hợp 4x tập trung, lý tưởng cho các thử nghiệm đa mẫu và quy mô lớn Phát hiện DNA và RNA đơn và đa mẫu Chứa UltraScript® RTase đã được điều chỉnh trong định dạng ống đơn Chất ức chế RNase tiên tiến Công nghệ khởi động nóng qua kháng thể Tương thích với tất cả các nền tảng PCR thời gian thực – điều kiện chu trình tiêu chuẩn và nhanh Chu trình tiêu chuẩn và cực nhanh (thời gian phản ứng RT xuống đến 3 phút và 1 giây cho bước biến tính, 3 giây cho bước bắt cặp/mở rộng của PCR)

Còn hàng

Mã CATSản phẩmKích thướcGiá
PB25.91-01Clara® Inhibitor-Tolerant Probe 1-Step Mix Lo-ROX200 x 20 μL ReactionsLiên hệ với chúng tôi
PB25.91-03Clara® Inhibitor-Tolerant Probe 1-Step Mix Lo-ROX600 x 20 μL ReactionsLiên hệ với chúng tôi
PB25.91-05Clara® Inhibitor-Tolerant Probe 1-Step Mix Lo-ROX1000 x 20 μL Reactions (5 x 1 mL)Liên hệ với chúng tôi
PB25.91-50Clara® Inhibitor-Tolerant Probe 1-Step Mix Lo-ROX10 000 x 20 μL Reactions (1 x 50 mL)Liên hệ với chúng tôi
PB25.92-01Clara® Inhibitor-Tolerant Probe 1-Step Mix Hi-ROX200 x 20 μL ReactionsLiên hệ với chúng tôi
PB25.92-03Clara® Inhibitor-Tolerant Probe 1-Step Mix Hi-ROX600 x 20 μL ReactionsLiên hệ với chúng tôi
PB25.92-05Clara® Inhibitor-Tolerant Probe 1-Step Mix Hi-ROX1000 x 20 μL Reactions (5 x 1 mL)Liên hệ với chúng tôi
PB25.92-50Clara® Inhibitor-Tolerant Probe 1-Step Mix Hi-ROX10 000 x 20 μL Reactions (1 x 50 mL)Liên hệ với chúng tôi
PB25.93-01Clara® Inhibitor-Tolerant Probe 1-Step Mix No-ROX200 x 20 μL ReactionsLiên hệ với chúng tôi
PB25.93-03Clara® Inhibitor-Tolerant Probe 1-Step Mix No-ROX600 x 20 μL ReactionsLiên hệ với chúng tôi
PB25.93-05Clara® Inhibitor-Tolerant Probe 1-Step Mix No-ROX1000 x 20 μL Reactions (5 x 1 mL)Liên hệ với chúng tôi
PB25.93-50Clara® Inhibitor-Tolerant Probe 1-Step Mix No-ROX10 000 x 20 μL Reactions (1 x 50 mL)Liên hệ với chúng tôi
PB25.94-01Clara® Inhibitor-Tolerant Probe 1-Step Mix Separate-ROX200 x 20 μL ReactionsLiên hệ với chúng tôi
PB25.94-03Clara® Inhibitor-Tolerant Probe 1-Step Mix Separate-ROX600 x 20 μL ReactionsLiên hệ với chúng tôi
PB25.94-05Clara® Inhibitor-Tolerant Probe 1-Step Mix Separate-ROX1000 x 20 μL Reactions (5 x 1 mL)Liên hệ với chúng tôi

Để xem giá của bạn, vui lòng đăng nhập hoặc đăng ký với tham chiếu báo giá của bạn.

Thông tin thêm

 Clara® Inhibitor-Tolerant Probe 1-Step Mix là gì?

PCR và qPCR có thể bị ức chế bởi nhiều hợp chất hóa học khác nhau, ảnh hưởng tiêu cực đến quy trình qPCR và các quy trình chẩn đoán. Clara® Inhibitor-Tolerant Probe 1-Step Mix là một loại hỗn hợp sẵn 4x bao gồm DNA polymerase, reverse transcriptase (RTase), RNase inhibitor, các tác nhân đệm, magie, dNTPs và các thành phần cần thiết khác cho phản ứng (RT-)qPCR dựa trên probe, tất cả đều trong định dạng ống đơn. Người sử dụng có thể kết hợp hỗn hợp này với các mồi, probe và mẫu vật để phát hiện đơn hoặc đa dạng. Hỗn hợp này tương thích toàn cầu với tất cả các hóa chất probe, bao gồm TaqMan, Scorpions và molecular beacons, và tối ưu tương thích với tất cả các thiết bị PCR thời gian thực thương mại. Clara® Inhibitor-Tolerant Probe 1-Step Mix được thiết kế để sử dụng trong phát triển bộ kit chẩn đoán in vitro (IVD) và cũng có thể được sử dụng trong nhiều ứng dụng nghiên cứu cần phản ứng (RT-)qPCR hiệu quả và đáng tin cậy.

 

Loại mẫu nào mà hỗn hợp này phù hợp?

Hỗn hợp 1 bước có thể được sử dụng để khuếch đại cả mẫu DNA và RNA mà không giảm hiệu quả, bất kể loại mẫu. Clara® Inhibitor-Tolerant Probe 1-Step Mix đã được thiết kế tỉ mỉ để sử dụng trong xét nghiệm nước bọt thô nhưng dung nạp một loạt các chất ức chế qPCR từ lâm sàng và phòng thí nghiệm.

 

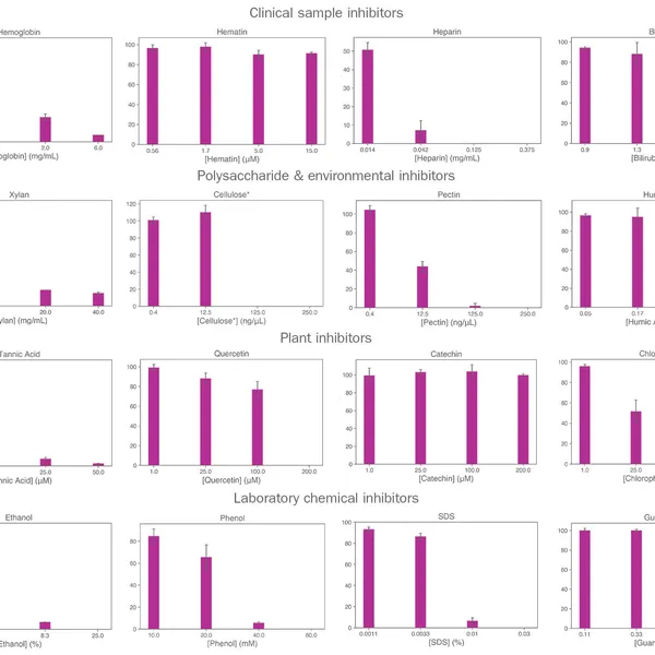
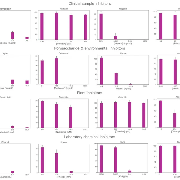
Các loại chất ức chế mà Clara® Inhibitor-Tolerant Probe 1-Step Mix chịu đựng.

Clara® Inhibitor-Tolerant Probe 1-Step Mix đã được thử nghiệm và chịu đựng một loạt các chất ức chế PCR phổ biến, bao gồm các hóa chất phòng thí nghiệm tiêu chuẩn (SDS, guanidine và ethanol) và các chất ức chế mẫu sinh học, chẳng hạn như những chất có trong mẫu máu (hemin, hematin, hemoglobin, heparin, IgG immunoglobulins, lactoferrin, sodium citrate), nước bọt, nước tiểu (urea), mẫu thực vật và môi trường (acid humic, catechin, quercetin, acid tannic, cellulose và chlorophyll). Hỗn hợp đã được xác thực rộng rãi trên nước bọt thô (hoặc pha loãng) và máu, cùng với nhiều chất ức chế hóa học tinh khiết khác.

 

 

 

Ứng dụng

  • Phát triển bộ kit chẩn đoán in vitro
  • Phát hiện RNA & DNA đơn và đa dạng
  • qPCR & RT-qPCR với nước bọt thô
  • Phân tích biểu hiện gen
  • Phân loại gen
  • Phân biệt alen

Thông số kỹ thuật

Clara® Inhibitor-Tolerant Probe 1-Step Mix Lo-ROX

Thành phần 200 Phản ứng 600 Phản ứng 1000 Phản ứng 10 000 Phản ứng
4x Clara Inhibitor-Tolerant Probe 1-Step Mix Lo-ROX 1 x 1 mL 3 x 1 mL 5 x 1 mL 1 x 50 mL

Clara® Inhibitor-Tolerant Probe 1-Step Mix Hi-ROX

Thành phần 200 Phản ứng 600 Phản ứng 1000 Phản ứng 10 000 Phản ứng
4x Clara Inhibitor-Tolerant Probe 1-Step Mix Hi-ROX 1 x 1 mL 3 x 1 mL 5 x 1 mL 1 x 50 mL

Clara® Inhibitor-Tolerant Probe 1-Step Mix No-ROX

Thành phần 200 Phản ứng 600 Phản ứng 1000 Phản ứng 10 000 Phản ứng
4x Clara Inhibitor-Tolerant Probe 1-Step Mix No-ROX 1 x 1 mL 3 x 1 mL 5 x 1 mL 1 x 50 mL

Clara® Inhibitor-Tolerant Probe 1-Step Mix Separate-ROX

Thành phần 200 Phản ứng 600 Phản ứng 1000 Phản ứng
4x Clara Inhibitor-Tolerant Probe 1-Step Mix No-ROX 1 x 1 mL 3 x 1 mL 5 x 1 mL
50 μΜ ROX Additive 1 x 200 μL 1 x 200 μL 1 x 200 μL

Thông tin Phản ứng

Thể tích Phản ứng Lưu trữ
20 μL Khi sản phẩm đến nơi, cần bảo quản giữa -30 °C và -20 °C. Nếu được bảo quản đúng cách, bộ kit sẽ giữ được hoạt tính đầy đủ cho đến ngày hết hạn đã chỉ định.

Tương thích Thiết bị

Sản phẩm này tương thích với tất cả các thiết bị qPCR tiêu chuẩn và nhanh. Sử dụng Công cụ Lựa chọn qPCR của chúng tôi để tìm ra biến thể ROX nào tương thích với thiết bị của bạn.

Câu hỏi thường gặp

Đã đạt được sự khuếch đại đáng tin cậy cho nhiều mục tiêu khác nhau bằng cách sử dụng 40 chu kỳ với 1 giây biến tính và 3 giây hồi phục và kéo dài (chu trình 2 bước). Khuếch đại thành công dưới các điều kiện này đòi hỏi các amplicon phải ngắn và cần được kiểm tra trên từng mục tiêu mới khi thêm vào thí nghiệm.

Kết quả sẽ khác nhau tùy thuộc vào loài thực vật và loại mô. Hóa chất chịu được chất ức chế của chúng tôi cho thấy độ kháng vừa phải với chlorophyll và polyphenol, chẳng hạn như catechin và quercetin, nhưng độ kháng thấp với axit tannic, cellulose và pectin. Do đó, chúng tôi khuyến nghị thử nghiệm hỗn hợp trên các loại mẫu mong muốn. Tất cả các mô thực vật sẽ yêu cầu phá hủy cơ học trong một đệm chiết xuất phù hợp để đạt được sự phá vỡ các tế bào và màng trước khi sử dụng với các hỗn hợp chịu được chất ức chế. Chúng tôi khuyến nghị thử nghiệm một số phản ứng nhỏ với loại mẫu mục tiêu. Xin vui lòng liên hệ với đội ngũ của chúng tôi qua info@pcrbio.com để yêu cầu mẫu sản phẩm, hoặc nếu bạn cần trợ giúp trong việc lập kế hoạch cho các phản ứng thử nghiệm như vậy.

Mẫu nước bọt không cần xử lý trước. Tuy nhiên, việc pha loãng trong môi trường vận chuyển mẫu phù hợp là điều được khuyến nghị. Chúng tôi đặc biệt khuyến nghị sử dụng UTM không chứa guanidinum chloride.

Chúng tôi đã thực hiện thành công các phản ứng đa hợp trên tối đa 5 μL mẫu máu (1.25 μL máu thô pha loãng 1:4 trong dung dịch NaCl/EDTA) cho mỗi phản ứng 20 μL. Điều này dẫn đến việc giảm tổng thể độ huỳnh quang nhưng không ức chế các phản ứng qPCR, cũng như không giới hạn độ nhạy của hỗn hợp.

Chúng tôi đã thử nghiệm thành công lên đến 10% nước bọt thô cho mỗi phản ứng, với những kết quả tốt nhất và nhất quán nhất khi sử dụng 2.5% nước bọt

 

Có. Trong khi hỗn hợp này chịu được chất ức chế, nhưng không hoàn toàn kháng lại sự hiện diện của các chất ức chế. Các chất ức chế khác nhau và nồng độ cao hơn vẫn có thể ức chế các phản ứng qPCR. Với độ nhạy của hỗn hợp, nếu có sự chậm trễ đáng kể, chúng tôi khuyến nghị pha loãng mẫu trước khi sử dụng trong các phản ứng qPCR.

Có, điều này là bình thường. Các mẫu sinh học thô, đặc biệt là nước bọt, chứa các mức độ chất ức chế PCR khác nhau. Chúng tôi đã quan sát thấy một khoảng chậm từ 0.5-3.5 chu kỳ trong việc khuếch đại cùng một mục tiêu với các mẫu nước bọt khác nhau. Cùng một mẫu sinh học thô cũng có thể cho thấy các mức độ ức chế khác nhau theo thời gian.

Tất cả các hỗn hợp chịu được chất ức chế của chúng tôi đã được kiểm tra và chịu được nước bọt thô và máu thô. Thêm vào đó, chúng đã được kiểm tra rộng rãi trong sự hiện diện của nhiều chất ức chế PCR có trong hóa chất lâm sàng, thực vật, môi trường và phòng thí nghiệm. Những chất này bao gồm: hemin, haemoglobin, heparin, lactoferrin, IgG immunoglobulins, guanidine, SDS, ethanol, urê, sodium citrate, acid humic, cellulose, pectin, quercetin, catechin, axit tannic và chlorophyll B. Mức độ chịu đựng thay đổi theo từng hợp chất. Các hỗn hợp cũng có thể chịu được các hợp chất khác, không được liệt kê, hoặc chưa được thử nghiệm.

 

 

Đã thêm vào giỏ hàng