| Số CAT | Sản phẩm | Kích thước | Giá |
|---|---|---|---|
| PB72.10-01 | VeriFi® Library Amplification Mix | 50 x 50 μL Reactions | Liên hệ chúng tôi |
| PB72.10-05 | VeriFi® Library Amplification Mix | 250 x 50 μL Reactions | Liên hệ chúng tôi |
Để xem giá của bạn, vui lòng đăng nhập hoặc đăng ký với mã báo giá của bạn.
Thông Tin Thêm
VeriFi® Library Amplification Mix được tạo ra như một công cụ cho các nhà nghiên cứu thực hiện các nghiên cứu giải mã thế hệ tiếp theo (NGS). Một phần quan trọng của quy trình NGS dựa trên PCR là bước khuếch đại, trong đó một thư viện DNA hoặc cDNA (trong trường hợp nghiên cứu RNA-Seq) đã được sửa đổi để chứa các adapter phù hợp cho nền tảng giải mã dự kiến và cần được khuếch đại trước khi tiến hành bước giải mã.
Để đảm bảo độ chính xác của dữ liệu giải mã cuối cùng, các polymerase sửa lỗi được sử dụng trong bước khuếch đại của quy trình NGS phải có những đặc điểm chính, đó là:
- Độ chính xác cao, để giảm thiểu sai sót PCR trong việc bổ sung nucleotide.
- Khả năng multiplexing mạnh, để khuếch đại các chiều dài mảnh khác nhau trong một thư viện.
- Thiên lệch dựa trên chuỗi thấp, đặc biệt là khi xử lý các chuỗi phức tạp (giàu GC/AT, hoặc lặp lại).
Các tính năng bổ sung cũng có thể giúp cải thiện hiệu suất của hỗn hợp khuếch đại thư viện, tùy thuộc vào loại nghiên cứu NGS đang được thực hiện. VeriFi® Library Amplification Mix được thiết kế với những tính năng này trong tâm trí. Nó được cung cấp bởi polymerase VeriFi® dẫn đầu thị trường của chúng tôi, với công nghệ khởi động nóng AptaLock™, trong định dạng hỗn hợp mới 2x. Hỗn hợp này chứa đệm phản ứng, dNTPs, Mg2+, và các tác nhân tăng cường giúp giảm thiểu thiên lệch GC và cho phép khuếch đại thư viện đáng tin cậy cho các nền tảng giải mã Illumina. Các thư viện đã được khuếch đại có thể dễ dàng được định lượng bằng cách sử dụng Bộ Định Lượng Thư Viện NGSBIO Màu Xanh cho Illumina trước khi giải mã.
Dữ liệu NGS chất lượng tốt hơn
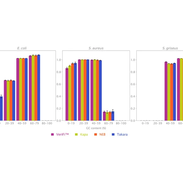
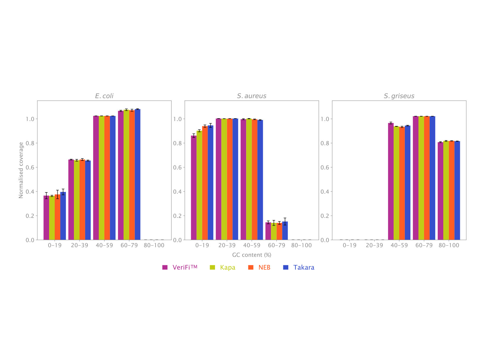
VeriFi® Library Amplification Mix đã được xác minh bên ngoài bằng cách sử dụng giải mã dựa trên Illumina trong một so sánh mù với ba đối thủ hàng đầu trên thị trường. VeriFi® Library Amplification Mix liên tục cung cấp 2% số đọc được ánh xạ duy nhất nhiều hơn so với các đối thủ cho ba bộ gen vi sinh vật khác nhau. Tùy thuộc vào nền tảng giải mã được sử dụng, phần trăm nhỏ này có thể dịch sang từ 80,000 đến 100,000,000 số đọc duy nhất nhiều hơn. Điều này dẫn đến độ phủ chuỗi mục tiêu lớn hơn và thông tin định lượng chính xác hơn, làm cho các thí nghiệm giải mã trở nên hiệu quả hơn về chi phí và dữ liệu kết quả trở nên thông tin hơn.
Giảm thiên lệch GC trong quá trình khuếch đại thư viện NGS
Công thức đệm mới làm cho VeriFi® Library Amplification Mix trở nên lý tưởng cho các mẫu phức tạp. Nhóm nghiên cứu của chúng tôi đã thử thách enzyme này trong các PCR trên nhiều mẫu khó khăn, chứng minh rằng có thiên lệch tối thiểu trong quá trình khuếch đại ở các cực về hàm lượng GC từ 30% – 70%. Với hiệu suất liên tục tốt hơn tất cả các đối thủ lớn, những kết quả này đảm bảo hiệu suất cắt nét của hỗn hợp bất kể chuỗi mục tiêu, để bạn có sự tự tin khi thực hiện các thí nghiệm NGS tốn kém và tốn thời gian. Kết hợp với số lượng đọc duy nhất cao hơn, đã được thảo luận ở trên, tính năng này làm cho VeriFi® Library Amplification Mix hoàn hảo cho việc thực hiện các phân tích metagenomic.
Công nghệ khởi động nóng AptaLock™
VeriFi® Library Amplification Mix được nâng cao bởi công nghệ khởi động nóng AptaLock™ sáng tạo của PCRBIO, một phân tử giống như aptamer riêng biệt có khả năng ức chế tạm thời cả hoạt động exonuclease 3'-5' và hoạt động polymerase 5'-3' của enzyme ở nhiệt độ môi trường. Phân tử khởi động nóng độc đáo này ngăn chặn sự hình thành dimmer mồi và khuếch đại không đặc hiệu nhằm tối đa hóa độ nhạy và độ đặc hiệu của PCR. Điều này đảm bảo rằng các phản ứng khuếch đại có thể được thiết lập ở nhiệt độ phòng.
Tài liệu tham khảo
- Chen, Y.C., Liu, T., Yu, C.H., Chiang, T.Y., Hwang, C.C., Tác động của thiên lệch GC trong dữ liệu Giải Mã Thế Hệ Tiếp Theo lên De Novo</i> Lắp Ghép Genome. PLOS ONE 8(4): e62856. ref=”https://doi.org/10.1371/journal.pone.0062856″>https://doi.org/10.1371/journal.pone.0062856
- Sims, D., Sudbery, I., Ilott, N. et al. Độ sâu và độ phủ giải mã: những yếu tố quan trọng trong phân tích gen. Nat Rev Genet 15, 121–132 (2014). ref=”https://doi.org/10.1038/nrg3642″ target=”_blank” rel=”noopener”>l=”class=’yoast-text-mark’>er noopenhttps://doi.org/10.1038/nrg3642
Ứng Dụng
- Khuếch đại thư viện NGS
- Giải mã toàn bộ genome
- RNA-Seq
- PCR multiplex và năng suất cao
- Giải mã mục tiêu giàu GC/AT
- Nghiên cứu metagenomic
Thông số kỹ thuật
VeriFi® Library Amplification Mix
| Thành phần | 50 Phản ứng | 250 Phản ứng |
|---|---|---|
| 2x VeriFi Library Amplification Mix | 1 x 1.25 mL | 5 x 1.25 mL |
VeriFi® Library Amplification Mix
| Thành phần | 50 Phản ứng | 250 Phản ứng |
|---|---|---|
| 2x VeriFi Library Amplification Mix | 1 x 1.25 mL | 5 x 1.25 mL |
Thông tin phản ứng
| Thể tích phản ứng | Lưu trữ | |||
|---|---|---|---|---|
| 50 μL | Khi nhận hàng, sản phẩm nên được lưu trữ ở nhiệt độ từ -30 đến -20 °C. Nếu được lưu trữ đúng cách, bộ kit sẽ duy trì hoạt động đầy đủ cho đến ngày hết hạn được chỉ định. |
Tài liệu
Tờ rơi sản phẩm
Hướng dẫn sử dụng
Bảng dữ liệu an toàn
Ghi chú ứng dụng
Câu hỏi thường gặp (FAQs)
Tôi có thể thực hiện PCR đa mạch với VeriFi® Library Amplification Mix không?
Có. Đối với hầu hết các thí nghiệm đa mạch, chúng tôi khuyên bạn nên sử dụng VeriFi® Hot Start Polymerase & Mixes (số sản phẩm PB10.45-PB10.47). Tuy nhiên, VeriFi® Library Amplification Mix cũng rất phù hợp cho mục đích này, đặc biệt khi một hoặc nhiều mục tiêu đa mạch chứa vùng giàu GC hoặc có các vùng trình tự khó hoặc lặp lại.
Tôi có thể sử dụng VeriFi® Library Amplification Mix cho các nghiên cứu/khuyếch đại metyl hóa DNA đã xử lý bisulfite không?
Không. Pfu polymerases chỉ có thể khuyếch đại các mục tiêu chứa uracil sau khi đã biến đổi, điều này làm giảm độ chính xác của PCR.
Tôi có thể sử dụng VeriFi® Library Amplification Mix cho PCR chuẩn thay vì khuyếch đại thư viện không?
Có, xin vui lòng làm theo hướng dẫn liên quan trong hướng dẫn sản phẩm. VeriFi® Library Amplification Mix có thể được sử dụng trong các chương trình chu kỳ 3 bước hoặc 2 bước chuẩn và đặc biệt phù hợp để khuyếch đại các mục tiêu có hàm lượng GC rất cao hoặc rất thấp.
VeriFi® Library Amplification Mix có thể được sử dụng trong các thí nghiệm NGS của tế bào đơn không?
VeriFi® Library Amplification Mix có thể được sử dụng để làm giàu dựa trên PCR cho bất kỳ loại thư viện DNA nào.
Tôi có cần bao gồm bước tinh chế giữa ligation adaptor và khuyếch đại thư viện với VeriFi® Library Amplification Mix không?
Chúng tôi khuyên bạn nên bao gồm một bước tinh chế sau khi ligation adaptor và lựa chọn kích thước. Điều này loại bỏ bất kỳ sự không tương thích nào của đệm và đảm bảo rằng các adaptor không được ligation không bị khuyếch đại trong quá trình làm giàu PCR thư viện.
Tôi gặp khó khăn trong việc khuyếch đại một mục tiêu với hàm lượng GC cao, tôi nên làm gì?
Tăng nhiệt độ làm biến tính lên 98-100 °C và tăng thời gian kéo dài.
Thư viện khuyếch đại của tôi có chất lượng kém, tôi có thể cải thiện nó như thế nào?
Tăng nhiệt độ làm biến tính. Tối ưu hóa nhiệt độ khảm và thời gian kéo dài. Tối ưu hóa lượng mồi và mẫu trong phản ứng. Đảm bảo rằng vật liệu bắt đầu có chất lượng cao.
Chiều dài mục tiêu tối đa tôi có thể khuyếch đại với VeriFi® Library Amplification Mix là bao nhiêu?
Chúng tôi đã thành công khuyếch đại được một đoạn 12 kb chứa các vùng giàu GC. Các mục tiêu dài hơn cũng có thể được thử nghiệm thành công.
Lượng mẫu tối thiểu tôi có thể sử dụng cho khuyếch đại thư viện thành công với VeriFi® Library Amplification Mix là bao nhiêu?
Không sử dụng mẫu dưới 10 ng cho khuyếch đại thư viện NGS. Một yếu tố chính trong việc có được thư viện khuyếch đại chất lượng cao là hạn chế số chu kỳ PCR được sử dụng. Sử dụng số chu kỳ cao hơn sẽ dẫn đến nguy cơ cao hơn về lỗi và thiên lệch do PCR gây ra.
Tôi có thể sử dụng VeriFi® Library Amplification Mix cho các nền tảng giải trình tự NGS nào?
VeriFi® Library Amplification Mix đã được kiểm tra và xác thực extensively trên các nền tảng giải trình tự Illumina với các mồi Illumina P5 và P7. Hỗn hợp này nên hoạt động tốt trong việc khuyếch đại các thư viện với các chuỗi adaptor khác nhau, dự kiến sẽ được sử dụng trên các nền tảng giải trình tự khác (ví dụ, Pac Bio và Oxford Nanopore Technologies), nhưng điều này cần được kiểm tra.
Xem thêm