Air-Dryable Probe Mix and Probe 1-Step Mix


Air-Dryable Probe Mix và Probe 1-Step Mix là các hỗn hợp chất tham gia qPCR và RT-qPCR đa năng, khô không khí, 4x cho việc phát hiện RNA và DNA siêu nhạy. Được thiết kế cho quá trình làm khô nhanh chóng, các hỗn hợp qPCR và RT-qPCR này cho phép các định dạng xét nghiệm khô sử dụng lò nướng phòng thí nghiệm tiêu chuẩn, cung cấp một phương án đơn giản, nhanh hơn và rẻ hơn so với quá trình lyophilization. Sự pha trộn tối ưu của các tá dược đảm bảo khả năng làm khô không khí đáng tin cậy, mà không mất hoạt tính. Chọn Air-Dryable Probe Mix khi làm việc chỉ với DNA, hoặc sử dụng Air-Dryable Probe 1-Step Mix để phát hiện hiệu quả cả mục tiêu DNA và RNA. Đặc điểm - Phát hiện nhạy cảm, không thiên lệch cả DNA và RNA, 4 bản sao mỗi phản ứng - Hỗn hợp RT-qPCR 1 bước hoàn chỉnh, định dạng ống đơn - Dễ dàng thiết lập phản ứng, chỉ cần thêm mồi và đầu dò trước khi làm khô - Quy trình làm khô không khí nhanh, thời gian làm khô 80-90 phút - Hiệu suất cao như nhau trước và sau khi làm khô - Bền ở nhiệt độ phòng ít nhất 12 tháng sau khi làm khô - Bảo quản và vận chuyển các phản ứng khô ở nhiệt độ phòng - Tăng thể tích mẫu đầu vào

Còn hàng

Số CATSản phẩmKích thướcGiá
PB90.21-03Air-Dryable Probe 1-Step Mix600 x 20 μL ReactionsContact us
PB90.21-10Air-Dryable Probe 1-Step Mix2000 x 20 μL Reactions (2 x 5 mL)Contact us
PB90.21-50Air-Dryable Probe 1-Step Mix10 000 x 20 μL Reactions (1 x 50 mL)Contact us
PB90.31-03Air-Dryable Probe Mix600 x 20 μL ReactionsContact us
PB90.31-10Air-Dryable Probe Mix2000 x 20 μL Reactions (2 x 5 mL)Contact us
PB90.31-50Air-Dryable Probe Mix10 000 x 20 μL Reactions (1 x 50 mL)Contact us

Để xem giá của bạn, vui lòng đăng nhập hoặc đăng ký với tham chiếu báo giá của bạn.

Thông tin thêm

Probe 1-Step Mix có thể làm khô không khí bao gồm một hỗn hợp qPCR 4x không chứa glycerol với Taq polymerase bắt đầu nóng, dNTPs, MgCl2 và một hỗn hợp các tá dược để đảm bảo quá trình làm khô không khí đáng tin cậy, không gây mất hoạt tính. Hỗn hợp này cũng chứa một phiên bản mới của UltraScript Reverse Transcriptase, được điều chỉnh để tăng cường tính ổn định khi khô, và chất ức chế RNase RiboShield™, do đó hỗn hợp cuối cùng phù hợp cho cả việc phát hiện DNA bằng qPCR và RT-qPCR 1 bước để phát hiện các mục tiêu RNA.

Thiết kế cho quá trình làm khô không khí nhanh chóng, Probe 1-Step Mix có thể làm khô không khí được dự định sử dụng trong sự phát triển bộ kit chẩn đoán in-vitro (IVD) nhưng cũng có thể được sử dụng cho bất kỳ ai muốn tận dụng những lợi ích của các phản ứng (RT-)qPCR đã được làm khô. Các giao thức làm khô không khí yêu cầu thời gian và kỹ năng ít hơn nhiều so với làm khô bằng đông lạnh (lyophilisation) và thiết bị rất đơn giản. 5 μL của Probe 1-Step Mix 4x (cần thiết cho thể tích phản ứng cuối cùng 20 μL) có thể được làm khô thành một gel bằng lò nướng phòng thí nghiệm tiêu chuẩn chỉ trong khoảng 80-90 phút.

Probe 1-Step Mix được trình bày trong định dạng ống đơn nhằm giúp việc thiết lập xét nghiệm cho việc phát hiện RNA hoặc DNA dựa trên probe RT-qPCR 1 bước đơn giản nhất có thể. Hỗn hợp này được cấu tạo đặc biệt cho việc làm khô không khí của hỗn hợp phản ứng, chỉ cần thêm các mồi và probe trước khi làm khô. Việc phục hồi hỗn hợp cũng đơn giản, chỉ cần thêm mẫu và, tùy chọn, nước để hoàn thành thể tích phản ứng cuối cùng. Việc lắc nhanh đĩa sẽ đảm bảo phục hồi hoàn toàn gel.

Lợi ích chính của việc làm khô không khí

  • Giảm thể tích và khối lượng của các hỗn hợp phản ứng dẫn đến chi phí vận chuyển và lưu trữ rẻ hơn.
  • Độ ổn định ở nhiệt độ phòng của gel cuối được làm khô không khí loại bỏ nhu cầu vận chuyển và lưu trữ dây lạnh. Điều này đơn giản hóa hậu cần và giảm tổng chi phí.
  • Có thể sử dụng khối lượng mẫu lớn hơn. Thể tích mẫu đầu vào có thể bằng thể tích phản ứng cuối cùng. Điều này hoàn hảo cho các mẫu loãng (với số lượng mục tiêu thấp).
  • Việc làm khô không khí trong lò là một phương pháp rất dễ tiếp cận, vì không yêu cầu thiết bị và kiến thức chuyên môn, loại bỏ nhu cầu về nhân viên bổ sung hoặc gia công dự án.
  • Tăng cường kiểm soát quy trình làm khô và phát triển sản phẩm cuối cho các nhà phát triển kit IVD nhỏ và vừa.

Ứng dụng

  • qPCR & RT-qPCR dựa trên probe chẩn đoán
  • Phát hiện DNA & RNA
  • qPCR sử dụng probe TaqMan®, Scorpions® và molecular beacon
  • Thiết lập qPCR đa thể và đơn thể

Thông số kỹ thuật

Hỗn hợp 1 bước Kiểm tra Khô Không khí

Thành phần 600 phản ứng 2000 phản ứng 10 000 phản ứng 100 000 phản ứng
4x Air-Dryable Probe 1-Step Mix 3 x 1 mL 2 x 5 mL 1 x 50 mL 1 x 500 mL

Hỗn hợp Kiểm tra Khô Không khí

Thành phần 600 phản ứng 2000 phản ứng 10 000 phản ứng
4x Air-Dryable Probe Mix 3 x 1 mL 2 x 5 mL 1 x 50 mL

Hỗn hợp 1 bước Kiểm tra Khô Không khí

Thành phần 600 phản ứng 2000 phản ứng 10 000 phản ứng 100 000 phản ứng
4x Air-Dryable Probe 1-Step Mix 3 x 1 mL 2 x 5 mL 1 x 50 mL 1 x 500 mL

Hỗn hợp Kiểm tra Khô Không khí

Thành phần 600 phản ứng 2000 phản ứng 10 000 phản ứng
4x Air-Dryable Probe Mix 3 x 1 mL 2 x 5 mL 1 x 50 mL

Thông tin Phản ứng

Thể tích phản ứng Bảo quản
20 μL Khi nhận hàng, các sản phẩm nên được bảo quản giữa -30 và -20 °C.
Nếu được bảo quản đúng cách, bộ kit sẽ duy trì hoạt động đầy đủ cho đến ngày hết hạn đã chỉ định.

Câu hỏi thường gặp (FAQs)

Các điều kiện sấy được cung cấp trong hướng dẫn sử dụng sản phẩm chỉ là một ví dụ về các chu kỳ đã được thử nghiệm trong phòng thí nghiệm của chúng tôi. Khi sấy khô bằng không khí, điều quan trọng là phải đạt được mức giảm trọng lượng (Loss on Drying, LoD) khoảng 70-75%, điều này dẫn đến một gel khô chỉ chứa 5-10% nước.

Thời gian sấy có thể khác nhau tùy thuộc vào thiết bị sử dụng. Khi sử dụng sản phẩm này lần đầu tiên với một lò cụ thể, chúng tôi khuyên bạn nên đo LoD bằng cách sử dụng nhiều ống ở các khoảng thời gian đều đặn (ví dụ: sau 60, 70, 80, 90 phút) để xác định giao thức tốt nhất và đạt được LoD là 74.5 ± 10.5% hoặc 70 ± 1% dựa trên hỗn hợp (có hoặc không có oligos) và thiết bị sấy được sử dụng.

Nhiệt độ cũng có thể được thay đổi, nhưng rõ ràng là nhiệt độ thấp hơn sẽ yêu cầu thời gian dài hơn, trong khi nhiệt độ cao hơn có nguy cơ ảnh hưởng đến tính toàn vẹn của các thành phần hỗn hợp, vì vậy chúng tôi khuyên bạn nên sử dụng 40 °C để giảm thiểu khả năng gặp phải các vấn đề bất ngờ.

Mặc dù chúng tôi đã quản lý thành công việc lyophilise hỗn hợp này, nhưng chúng tôi không khuyên bạn nên lyophilise. Hàm lượng tá dược đã được tối ưu hóa cho việc sấy khô bằng không khí và điều này làm giảm đáng kể độ ổn định của việc lyophilise sản phẩm. Chúng tôi khuyên bạn chỉ nên sử dụng hỗn hợp này cho việc sấy khô bằng không khí và khuyên bạn nên sử dụng dòng sản phẩm Lyo-Ready của chúng tôi cho các giao thức lyophilise.

Hoàn toàn có thể. Đây là hỗn hợp All-in-One phổ quát đầu tiên của chúng tôi, nghĩa là nó đã chứa RTase. Một cách quan trọng, điều này không ảnh hưởng đến hiệu suất của polymerase HS Taq của chúng tôi, do đó nó có thể được sử dụng với cả RNA và DNA như là mẫu. Chúng tôi không khuyên bạn nên phát hiện đồng thời các mục tiêu RNA và DNA trong một phản ứng multiplex duy nhất.

Nếu 5 – 6 μL hỗn hợp (cộng với oligos) đã được sấy khô trong mỗi giếng, thì chỉ cần hòa tan gel với 20 μL mẫu trong nước. Sau khi hòa tan, chúng tôi khuyên bạn nên lắc plate đã được niêm phong trong khoảng 1 phút để đạt được dung dịch đồng nhất trong mỗi giếng.

Sau khi sấy khô, hãy niêm phong các ống/plate. Bằng cách này, chúng có thể được bảo quản ở nhiệt độ phòng trong ít nhất 1.5 năm. Đối với việc lưu trữ lâu dài, chúng tôi khuyên bạn nên lưu trữ các plate trong các túi zip lock cùng với các túi silica gel.

Hỗn hợp khô hành xử tương tự như hỗn hợp ướt, không có sự giảm đáng kể về độ phát quang hoặc độ trễ trong khuếch đại. Nó cũng cho thấy cùng độ nhạy và hiệu quả như tất cả các hỗn hợp Probe 1-Step của chúng tôi, phát hiện tới 4 bản sao của bộ gen virus.

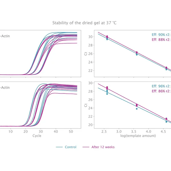
Chúng tôi không quan sát thấy sự mất hoạt tính đáng kể (tức là, không giảm độ phát quang và trễ dưới 1 Ct trong khuếch đại) khi chúng tôi ủ gel khô ở 37 °C trong 3 tháng.

Chúng tôi đã khuếch đại thành công 2 bộ khác nhau gồm 4 mục tiêu đồng thời. Những người sử dụng bên ngoài báo cáo đã thực hiện thành công các phản ứng multiplex phức tạp hơn. Vui lòng chia sẻ bất kỳ phản hồi và kết quả nào về điều này với chúng tôi tại technical@pcrbio.com.

Khi nhận được, bộ sản phẩm nên được bảo quản ở nhiệt độ từ -30 °C đến -15 °C. Nếu được bảo quản đúng cách, bộ sản phẩm sẽ giữ được hoạt tính đầy đủ trong 12 tháng.

Vui lòng kiểm tra xem thiết bị được sử dụng để sấy khô hỗn hợp có được thiết lập đúng cách, kết nối với nguồn điện và hoạt động bình thường hay không.

Cũng hãy chắc chắn không vượt quá tối đa 5 – 6 μL hỗn hợp (bao gồm oligos và thuốc nhuộm ROX) cho mỗi giếng khi sấy khô. Vui lòng đảm bảo bạn đang làm theo hướng dẫn được cung cấp trong hướng dẫn. Thời gian sấy tối ưu có thể khác nhau giữa các lò khác nhau. Chúng tôi khuyên bạn nên tối ưu hóa điều kiện sấy cho phản ứng của bạn như cần thiết, bắt đầu với các chỉ dẫn được cung cấp trong hướng dẫn của chúng tôi.

Chúng tôi khuyên bạn nên sử dụng thể tích nhỏ nhất có thể để giảm thiểu thời gian cho quy trình. Điều này có nghĩa là sấy khô 5 μL của hỗn hợp 4x riêng lẻ (cho một phản ứng 20 μL). Nếu primers, probes, và cuối cùng là ROX (nếu thiết bị PCR yêu cầu) được thêm vào trước khi thực hiện quy trình, các dung dịch gốc ở nồng độ cao nên được chuẩn bị, để thêm thể tích nhỏ nhất có thể vào hỗn hợp 4x. Chúng tôi khuyên bạn không nên vượt quá 1 μL bổ sung. Các thể tích lớn hơn sẽ yêu cầu thời gian sấy lâu hơn và LoD cao hơn để đạt được cùng tỷ lệ phần trăm nước còn lại trong sản phẩm khô. Khi sấy khô 6 μL của hỗn hợp với primers và probes, LoD cần đạt 74.5 % ± 0.5 %, và vì vậy chúng tôi khuyên bạn nên sấy khô hỗn hợp ở 40 °C trong 80-90 phút.

Chúng tôi không khuyên bạn nên sấy khô hơn 5 – 6 μL hỗn hợp (cộng với oligos) cho mỗi giếng theo hướng dẫn được cung cấp trong hướng dẫn. Nhiều plate có thể được sấy khô cùng một lúc để gia tăng sản xuất. Chúng tôi không khuyên bạn nên sấy khô các thể tích lớn hơn và khuyên bạn sử dụng lyophilise, với dòng sản phẩm Lyo-Ready của chúng tôi.

Đã thêm vào giỏ hàng