| Số CAT | Sản phẩm | Kích thước | Giá |
|---|---|---|---|
| PB30.11-02 | UltraScript® cDNA Synthesis Kit | 25 x 20 μL Reactions | Contact us |
| PB30.11-10 | UltraScript® cDNA Synthesis Kit | 100 x 20 μL Reactions | Contact us |
| PB30.12-01 | UltraScript® Reverse Transcriptase | 10 000 Units | Contact us |
| PB30.12-04 | UltraScript® Reverse Transcriptase | 40 000 Units | Contact us |
| PB30.13-01 | UltraScript® Reverse Transcriptase (8000 U/μL) | 80 000 Units | Contact us |
| PB30.15-02 | UltraScript® cDNA Synthesis Kit Separate Oligos | 25 x 20 μL Reactions | Contact us |
| PB30.15-10 | UltraScript® cDNA Synthesis Kit Separate Oligos | 100 x 20 μL Reactions | Contact us |
Để xem giá của bạn, vui lòng đăng nhập hoặc đăng ký với mã báo giá của bạn.
Thông Tin Thêm
UltraScript® Reverse Transcriptase
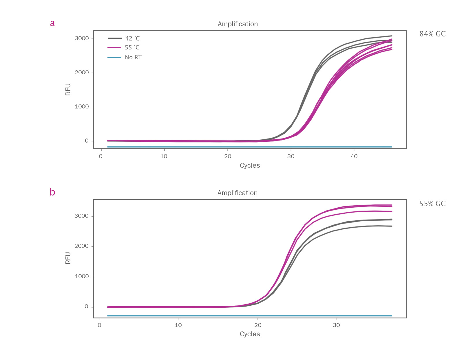
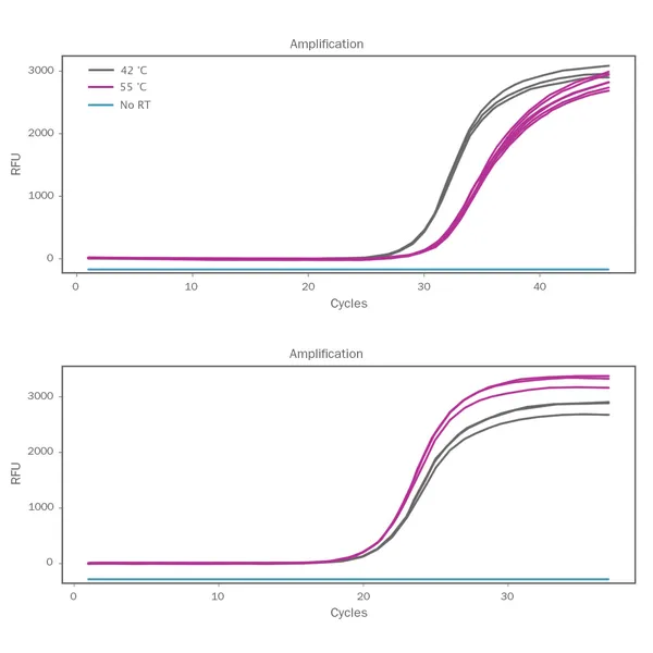
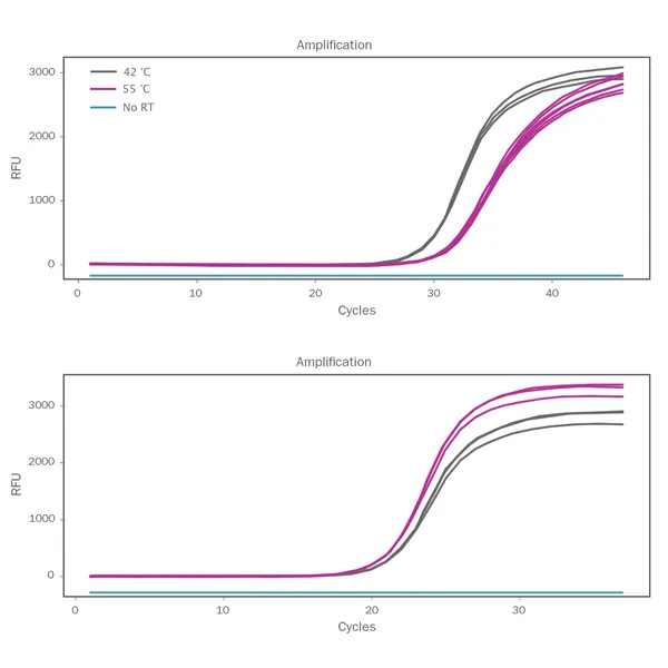
UltraScript® Reverse Transcriptase là một enzyme phiên mã ngược (RTase) được sửa đổi từ MMLV, ổn định nhiệt và hoạt động rất cao cho việc tổng hợp cDNA. Nhiệt độ phản ứng có thể tăng lên tới 55 °C, cung cấp độ đặc hiệu cao hơn và phiên mã hiệu quả các vùng RNA giàu GC với cấu trúc bậc hai cao. RTase được pha trộn với một chất ức chế RNase tiên tiến, ngăn ngừa sự phân hủy RNA bởi RNase ô nhiễm. UltraScript® Reverse Transcriptase không bị ức chế bởi RNA ribosome và transfer, làm cho RNA tổng hợp trở thành nền tảng lý tưởng. Enzyme này được cung cấp với một bộ đệm 5x chứa Mg, dNTPs, các chất ổn định và tăng cường, được tối ưu hóa để tạo ra cDNA có năng suất cao từ ít nhất 4 pg RNA. Vì các oligo không được bao gồm, UltraScript® Reverse Transcriptase cung cấp sự tiện lợi và linh hoạt cho người dùng trong việc xác định chiến lược khởi động của riêng mình phụ thuộc vào loại phân tích cần thiết. UltraScript® Reverse Transcriptase mang lại hiệu suất đặc biệt với các mồi đặc hiệu cho gen, oligo(dT) và hexamer ngẫu nhiên để tạo ra cDNA chất lượng cao, lý tưởng cho nhiều ứng dụng tiếp theo. RTase mạnh mẽ của chúng tôi cũng có sẵn ở định dạng nồng độ cao và dưới dạng bộ công cụ tổng hợp cDNA UltraScript® đã sẵn sàng (trước đây là bộ công cụ tổng hợp cDNA qPCRBIO), trong đó nồng độ tương đối của hexamer ngẫu nhiên và oligo(dT) đã được tối ưu hóa cho việc tạo ra cDNA để sử dụng trong các thí nghiệm PCR thời gian thực. Điều này loại bỏ nhu cầu tối ưu hóa của người dùng cho các yếu tố phản ứng phiên mã ngược quan trọng, chẳng hạn như chiến lược khởi động, transcriptase ngược, đệm và các chất tăng cường, và mang lại tổng hợp cDNA không thiên lệch, hiệu quả và nhạy cảm mỗi lần. Đọc những Mẹo và Thủ thuật này để tối đa hóa các thí nghiệm tổng hợp cDNA của bạn. Tìm hiểu về chiến lược khởi động tốt nhất để sử dụng phụ thuộc vào loại RNA đầu vào bạn đang sử dụng và ứng dụng cuối cùng của cDNA của bạn. Để có tóm tắt nhanh chóng về khi nào mỗi sản phẩm tổng hợp cDNA là hợp lý, hãy sử dụng bảng tham khảo dưới đây:
| Chủng Mồi | Nguồn RNA | Mục Đích Sử Dụng | Sản Phẩm Được Đề Xuất |
|---|---|---|---|
| Oligo(dT) & Hexamer Ngẫu Nhiên | Bất kỳ | qPCR, cloning, NGS | PB30.11/PB30.15 |
| Hexamer Ngẫu Nhiên | Prokaryotic, Archaeal | qPCR, cloning, NGS | PB30.15, (PB30.12 người dùng phải cung cấp mồi) |
| Oligo(dT) | Eukaryotic | qPCR, cloning, NGS | PB30.15, (PB30.12 người dùng phải cung cấp mồi) |
| Mồi Đặc Hiệu Cho Gen | Bất kỳ | Cloning, qPCR mục tiêu, NGS mục tiêu | PB30.12 (người dùng phải cung cấp mồi) |
Ứng Dụng
- Hexamer ngẫu nhiên, oligo(dT) và các mồi đặc hiệu cho gen
- Tổng hợp cDNA cho phân tích PCR thời gian thực
- Tổng hợp cDNA cho phân tích PCR, cloning, chuẩn bị thư viện và Giải trình tự Thế hệ Tiếp theo
- Transcript số lượng thấp
- Mục tiêu RNA virus
- Mục tiêu miRNA
- Tổng hợp hiệu quả từ RNA tổng hợp hoặc RNA poly(A)+



Xem thêm